Всем доброго времени суток! В прошлой статье я рассказывал об устройстве трансформатора и его работе. Также я указывал, что для анализа трансформатора используют эквивалентные схемы, содержащие основные параметры трансформатора и позволяющие оценить его характеристики в различных режимах. В процессе своей работы трансформатор может находиться в трёх основных режимах: режим холостого хода, режим короткого замыкания и номинальный режим.
Для сборки радиоэлектронного устройства можно преобрески DIY KIT набор по ссылке.
Для рассмотрения работы трансформатора в различных режимах мы будем использовать схему замещения трансформатора.
Рабочий процесс трансформатора
Процесс работы трансформатора рассмотрим на основе эквивалентной схемы замещения из предыдущей статьи

Эквивалентная схема замещения трансформатора.
При наличии нагрузки ZH на выводах вторичной обмотки 3-4 и напряжении U1 на выводах первичной обмотки 1-2 в магнитопроводе трансформатора создается магнитный поток, который индуцирует в обмотках ЭДС: в первичной – Е1, а во вторичной – Е2. В результате приложенное напряжение в первичной обмотке U1 уравновешивается ЭДС Е1 и падением напряжения на активном сопротивлении обмотки R1 и реактивном сопротивлении Ls1 индуктивности рассеяния. Аналогичным образом происходит уравновешивание напряжения и во вторичной обмотке трансформатора.
Определение основных параметров трансформатора: напряжения U1 и U1, ЭДС Е1 и Е2, потери в обмотках и в магнитопроводе происходит при рассмотрении режимов работы трансформатора, а определение их реальных значений – из опытов холостого хода и короткого замыкания.
От чего зависит ЭДС в обмотках трансформатора?
В прошлой статье я указал, что мгновенное значение ЭДС в обмотке трансформатора определяется числом витков ω провода в ней и скоростью изменения магнитного потока dΦ/dt

где ω – число витков обмотки трансформатора,
dФВ/dt – скорость изменения магнитного потока.
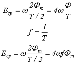
Однако в большинстве случаев нам интересно не мгновенное значение ЭДС, а действующее. Поэтому выведем выражение, определяющее действующее значение ЭДС в обмотках трансформатора. Это можно сделать аналитически проинтегрировав функцию изменения магнитного потока dΦ/dt, либо же путем нахождения среднего значения ЭДС Ecp и коэффициента формы ЭДС kф. Я буду выводить выражение вторым способом.
Магнитный поток протекая в сердечнике трансформатора изменяется в соответствии с некоторой периодичной функцией имеет два амплитудных значения максимальное +Фm и минимальное –Фm, тогда полное изменение магнитного потока за полупериод Т/2 будет иметь значение
![]()
Тогда среднее значение ЭДС Еср в обмотке трансформатора будет иметь вид

где ω – число витков обмотки трансформатора,
Т/2 – полупериод изменения функции магнитного потока,
f – частота изменения магнитного потока,
Фm – амплитуда магнитного потока.
Действующее значение ЭДС и её среднее значение связывает коэффициент формы кривой ЭДС kф, тогда действующее значение ЭДС в обмотке трансформатора будет определяться следующим выражением

где kф – коэффициент формы ЭДС,
f – частота изменения ЭДС,
ω – число витков обмотки трансформатора,
B – магнитная индукция в сердечнике,
Sc – площадь сечения сердечника трансформатора.
Приведём примеры действующего значение ЭДС для синусоидального, прямоугольного (меандр) и треугольного изменения

Из вышесказанного следует, что при условии постоянства электромагнитной индукции B, ЭДС пропорциональна конструктивным параметрам трансформатора сечению магнитопровода Sc и количеству витков ω. Правильный выбор величины электромагнитной индукции В является одной из ключевых задач при проектировании трансформатора. Кроме того, с ростом частоты f увеличивается ЭДС, поэтому для реализации одинаковой ЭДС с ростом частоты требуются меньшие размеры и вес трансформатора. Данный фактор является основным преимуществом трансформаторов высокой частоты, которые чаще всего применяются в настоящее время.
Режим холостого хода
Данный режим характеризуется отсутствием нагрузки во вторичной обмотке или же бесконечно большой величиной сопротивления ZH = ∞, то есть разомкнутая цепь вторичной обмотки.
Тогда ток во вторичной обмотке будет равен нулю I2 = 0. Тогда в соответствии с первым законом Кирхгофа (закон баланса токов) получим

где I1 – ток в первичной обмотке трансформатора,
I0 – ток намагничивания магнитопровода,
I’2 – приведённый ток вторичной обмотки трансформатора.
Возникновение тока намагничивания I0 связанно с потерями энергии: на создание основного магнитного потока, замыкающегося через магнитопровод (мощность намагничивания PL) и потери мощности в сердечнике РА, а так же вследствие потерь в первичной обмотке магнитопровода от протекания тока намагничивания. Так как трансформатор в режиме холостого хода не создает тока во вторичной обмотке I2 = 0, то такой ток называют током холостого хода.
Очевидно, что ток холостого хода имеет активную Ia и реактивную IL составляющие, которые определяются следующими выражениями

где Е1 – ЭДС самоиндукции, возникающая в первичной обмотке,
RC – сопротивление активных потерь в сердечнике,
LC – сопротивление реактивных потерь в сердечнике.
Так как сопротивления RC и LC имеют нелинейных характер, то в инженерных расчётах пользуются графическими зависимостями параметров сердечников, в первую очередь кривой намагничивания материала магнитопровода (зависимость магнитной индукции В от напряженности магнитного поля Н Dynamic magnetization curves). Кроме того необходимо знать геометрические параметры используемого сердечника: эквивалентную площадь сечение Se(Ae), эквивалентную длину магнитной силовой линии le и эквивалентный объем сердечника Ve. Кроме того для нахождения потерь мощности в сердечнике РА необходимо воспользоваться графической зависимостью магнитных потерь в сердечнике (Relative core losses) от различных факторов: индукции B, температуры T и частоты f.
Как определить ток холостого хода трансформатора?
Вычисление тока холостого хода трансформатора может происходить следующим образом:
- Определяем величину магнитной индукции в сердечнике трансформатора, допуская тот факт, что значение ЭДС Е1 в первичной обмотке очень близко по значению с приложенным к ней напряжением U1

где kф – коэффициент формы ЭДС,
f – частота изменения ЭДС,
ω – число витков обмотки трансформатора,
Sc – площадь сечения сердечника трансформатора.
- По кривой намагничивания материала сердечника определяем напряженность Н магнитного поля в магнитопроводе.
- Определяем реактивную IL составляющую тока холостого хода

- Находим мощность активных потерь РА в сердечнике трансформатора по графическим зависимостям мощности удельных объёмных потерь PV от индукции в сердечнике B и значению эффективного объема сердечника Ve.
- Определяем активную составляющую Ia тока холостого хода

- Определяем ток холостого хода

Полученное токам образом значение тока холостого хода практически не отличается от реальной величины тока, протекающего в первичной обмотке при работе трансформатора в режиме холостого хода.
Опыт холостого хода
После изготовления трансформатора необходимо провести ряд испытаний, одним из которых является опытом холостого хода. Данное испытание трансформатора проводится при разомкнутой вторичной обмотке и подачей номинального напряжения на первичную обмотку. По результатам проведения опыта холостого хода определяют коэффициент трансформации и мощность потерь в магнитопроводе.
Для проведения опыта холостого хода собирают схему изображенную ниже

Схема опыта холостого хода.
Как видно на схеме к первичной обмотке трансформатора необходимо подключить вольтметр PV1, амперметр РА1 и ваттметр PW1, а к вторичной обмотке – вольтметр PV2.
Для снятия характеристик холостого хода трансформатора на его первичную обмотку подают номинальное напряжение = UH, которое можно изменять при необходимости снятия динамических характеристик примерно от 30% до 110% UH. После подачи напряжения в первичную обмотку снимают показания по приборам: ток холостого хода IХХ, мощность холостого хода РХХ, напряжение на вторичной обмотке U2 трансформатора.
По результатам проведения опыта холостого хода можно определить следующие параметры:
— процентное отношение тока холостого тока IXX%

где IH – номинальное значение тока в первичной обмотке трансформатора.
— коэффициент трансформации трансформатора k

где U1 и U2 – напряжения, снимаемые с вольтметров PV1 и PV2, соответственно.
— активное сопротивление намагничивающего контура RC

где РХХ – мощность, снимаемая с ваттметра PW1.
— полное сопротивление намагничивающего контура ZC

— реактивное сопротивление намагничивающего контура ХС
![]()
— коэффициент мощности холостого хода cos φXX

При проведении опыта холостого хода следует отметить, что в начальный момент подачи напряжения возникает недопустимо большой ток в разы превышающий номинальный, а так как ток холостого хода составляет 3 – 10 % от номинального тока, то пусковой ток превышает ток холостого тока в десятки раз. Поэтому в начальный момент необходимо замкнуть выводы амперметра РА1.
Кроме опыта холостого хода для испытания трансформатора проводят опыт короткого замыкания, о котором я расскажу в следующей статье.
Теория это хорошо, но необходимо отрабатывать это всё практически ПОПРОБОВАТЬ МОЖНО ЗДЕСЬ

Катушки индуктивности с малым воздушным зазором
Элементы цепей переменного напряжения
Как рассчитать индуктивность катушек с замкнутыми сердечниками? Часть 2.
Повышающий преобразователь напряжения
Нагрев и охлаждение дросселя