Всем доброго времени суток! В прошлой статье я рассказал о выборе сердечника трансформатора и определении его основных размеров. Сегодня я приведу примеры расчётов сердечников нескольких типов трансформаторов.
Следует отметить, что все расчёты основаны на оптимально-компромиссной геометрии сердечника, а у промышленных образцов геометрия другая. Поэтому под рассчитанные параметры сердечника (a, b, c, h) необходимо подобрать унифицированный магнитопровод, применяя следующее правило: произведение линейных размеров рассчитанного сердечника и такое же произведение размеров унифицированного сердечника не должны значительно различаться, причем отличие каждого из размеров не должно превышать ± 15 %. В противном случае будут закладываться изначально плохие удельно-экономические показатели.
Для сборки радиоэлектронного устройства можно преобрески DIY KIT набор по ссылке.

При этих условиях электромагнитные режимы и необходимая мощность трансформатора обеспечивается, даже если фактические и расчётные размеры существенно отличаются.
При расчёте магнитной индукции для трансформаторов ТЕР необходимо придерживаться следующего правила, что расчётная индукция ВP не должна быть меньше, чем 0,8BS для данного вида материала сердечника. В случае меньшего значения можно вернуться к выбору материала магнитопровода, либо изменить значения режимов работы трансформатора, наиболее эффективно: перегрев τМ, площадь охлаждения сердечника ПС.
Расчёт сердечника трансформатора ТВР
Необходимо найти основные размеры сердечника наименьшей стоимости со входным напряжением U1 = 220 B при частоте f = 50 Гц, допустимым перегревом τM = 50 ºС, выходные обмотки со следующими параметрами: одна вторичная обмотка нагружена на мостовой выпрямитель, U21 = 50 B, I21 = 0,7 А, вторая обмотка – на двухполупериодный выпрямитель со средней точкой, U22 = 5 B, I22 = 2,5 А. Обмотки выполнить из меди, остальные условия типовые.
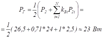
1. Определяем габаритную мощность трансформатора.
— мощности

— коэффициент коррекции типа выпрямителя kB1 = 1, kB2 = 0,71;
— требуемая габаритная мощность

-коэффициент увеличения электромагнитной мощности сP

Зависимость коэффициента увеличения габаритной мощности сP от габаритной мощности РГ.
Определим сP = 1,075.
2. Выбираем тип сердечника – броневой шихтованный сердечник из пластин толщиной – 0,35 мм, коэффициент заполнения сердечника kC = 0,93, коэффициент заполнения окна для начала выберем типовой kOK = 0,3. Данный трансформатор отнесём к трансформаторам с вынужденным режимом работы ТВР, поэтому рабочую индукцию ограничим предельной B = BS. При условии наименьшей стоимости выберем горячекатаную сталь 1512 (Э42), электромагнитные параметры которой представлены ниже

Кривая намагничивания стали 1512.

Удельные потери в стали 1512.
Для данной стали определяем BS = 1,15 Тл, удельные потери в магнитном материале р/ = 1,55 Вт/кг. В готовом сердечнике удельные потери будут выше из-за влияния технологии изготовления, вида сердечника, частоты которые корректируются коэффициентом kP = 1,5, тогда удельные потери р1 готового сердечника составят
![]()
Параметры оптимальной геометрии для трансформатора наименьшей стоимости с заданным перегревом (τ = const) будут равны
![]()
3. Определяем дополнительные параметры:
— соотношение плотностей тока в обмотках ε, для БТ хk = x

— относительный ток первичной обмотки i1 = 1,1;
— функции геометрии φi

— соотношение поверхностей охлаждения β

— оптимальное соотношение потерь в данном типе трансформатора ν0
![]()
— определим соотношение потерь в трансформаторе ν, для ТВР ν < ν0

Так как ν = 0,314 < ν0, то трансформатор правильно отнесён к ТВР.
4. Определяем электромагнитные нагрузки трансформатора.
Определим дополнительные параметры:
— расчётный параметр Б

— определим плотность тока вторичных обмоток j2

5.Определим основные размеры трансформатора:
— базовый размер а

— расчётные размеры трансформатора

6. Выбираем унифицированный сердечник:
— произведение сечений окна и стержня рассчитываемого трансформатора
![]()
— выбор унифицированного сердечника. В данном случае можно взять сердечник типа Ш20х40 со следующими размерами

Данный сердечник больше расчётного, что немного утяжелит трансформатор, однако за счёт неполного заполнения окна сердечника будет улучшено его охлаждение и снижен перегрев.
Расчёт сердечника трансформатора ТЕР
Необходимо рассчитать трансформатор наименьшей массы со входным напряжением U1 = 310 В, частотой f = 60 кГц, форма напряжения прямоугольная со скважностью Q = 0,7. Трансформатор рассчитывается на максимальный перегрев τM = 30 ºС и имеет две выходные обмотки: первая с напряжением U21 = 12 В, выходным током I21 = 2 А, нагружена на двухполупериодный выпрямитель со средней точкой, вторая обмотка с напряжением U22 = 5 В, с действующим током обмотки I22 = 0,5 А, нагруженная на мостовой выпрямитель. Остальные условия типовые.
1. Определяем габаритную мощность трансформатора
— выходная мощность трансформатора

— коэффициент коррекции типа выпрямителя

— требуемая габаритная мощность

2. Выбираем тип сердечника. Для данного трансформатора выбираем Ш-образный сердечник из феррита N27, коэффициент заполнения сердечника kC = 1, коэффициент заполнения окна для начала выберем типовой kOK = 0,15. Трансформатор отнесём к ТЕР типу. Электромагнитные параметры данного феррита приведены ниже

Динамическая кривая намагничивания для N27.

Относительные потери в сердечнике в зависимости от частоты для N27.
Предельная рабочая индукция для N27 BS = 0,5 Тл, потери в сердечнике при данной индукции

-коэффициент увеличения электромагнитной мощности сP

Зависимость коэффициента увеличения габаритной мощности сP от габаритной мощности РГ
Определим для ТЕР сP* = 1,035, тогда

Для трансформатора наименьшей массы с ограничением по перегреву параметры оптимальной геометрии составят
![]()
3. Определяем дополнительные параметры
— соотношение плотностей тока в обмотках ε, для БТ хk = x

— относительный ток первичной обмотки i1 = 1,1;
— функции геометрии φi

— соотношение поверхностей охлаждения β

— оптимальное соотношение потерь в данном типе трансформатора ν0
![]()
— определим соотношение потерь в трансформаторе ν, для ТЕР ν = ν0 = 2,19.
4. Определяем электромагнитные нагрузки трансформатора.
Определим дополнительные параметры:
— расчётный параметр Б

— плотность тока вторичных обмоток j2

— магнитная индукция в сердечнике

Магнитная индукция в данном сердечнике меньше индукции насыщения B = 0,28 < BS, поэтому трансформатор правильно отнесён к ТЕР типу. В противном случае его надо было бы пересчитать как ТВР с ограничением индукции. Так при перегреве уже в 50 ºС магнитная индукция составила бы В = 0,44 Тл, что находится на пределе для данного типа сердечника.
5.Определим основные размеры трансформатора:
— коэффициент формы напряжения

— базовый размер а

— расчётные размеры трансформатора

6. Выбираем унифицированный сердечник:
— произведение сечений окна и стержня рассчитываемого трансформатора
![]()
— выбор унифицированного сердечника. В данном случае можно взять сердечник типа EE19 со следующими размерами

Данный сердечник больше расчётного, что немного утяжелит трансформатор, однако за счёт неполного заполнения окна сердечника будет улучшено его охлаждение и снижен перегрев.
В следующей статье я рассмотрю, как выполнить электрический расчёт трансформатора.
Теория это хорошо, но необходимо отрабатывать это всё практически ПОПРОБОВАТЬ МОЖНО ЗДЕСЬ

Как рассчитать индуктивность катушек с замкнутыми сердечниками? Часть 2.
Импульсный понижающий преобразователь напряжения
Как рассчитать индуктивность катушек с замкнутыми сердечниками?
Нагрев и охлаждение дросселя