Всем доброго времени суток! В прошлой статье я начал рассказывать о потерях мощности при работе дросселя, в частности была рассмотрена мощность, которая выделяется в обмотке дросселя и влияния на неё размеров проводника, из которого выполнена обмотка, а также параметры самой обмотки. Ещё одним существенным фактором потерь мощности, являются процессы, происходящие в сердечнике дросселя, такие как вихревые токи и перемагничивание ферромагнетиков.
Для сборки радиоэлектронного устройства можно преобрески DIY KIT набор по ссылке.
От чего зависят потери в сердечнике?
В цепи с сопротивлением, мощность потребляемая нагрузкой, зависит от произведения напряжения и электрического тока
![]()
Ток I в данном выражении, это ток намагничивания, протекающий через дроссель, а что такое напряжение U?
Как известно, при протекании тока через дроссель в нём возникает ЭДС, которое противодействует вызвавшему его электрическому току. Величина ЭДС отрицательна по отношению к падению напряжения на дросселе, то есть из-за его магнитных свойств, происходит уменьшение напряжения на величину ЭДС самоиндукции. Значит напряжение в формуле мощности равно ЭДС самоиндукции
![]()
где P – потери мощности в сердечнике,
Е – ЭДС самоиндукции,
Iμ – действующее значение тока намагничивания.
Ток намагничивания можно определить из закона полного тока

где H – напряженность магнитного поля в сердечнике,
lср – средняя длина магнитной силовой линии,
ω – количество витков провода.
ЭДС самоиндукции определяется по формуле

где ω – количество витков,
S – площадь поперечного сечения сердечника,
B – магнитная индукция,
t – время.
Так как ток у нас переменный, а активная мощность определяется как среднее за период значение мгновенной мощности, тогда мощность потерь в сердечнике дросселя составит

где f – частота переменного тока,
S – площадь поперечного сечения сердечника,
Lcp – средняя длина магнитной силовой линии в сердечнике
V – объём сердечника.
Подынтегральное выражение показывает зависимость магнитной индукции В от напряженности Н магнитного поля в сердечнике, проинтегрировав которое получим так называемый коэффициент удельных объёмных магнитных потерь вещества PSP, который численно равен площади охватываемой петлёй гистерезиса.

Коэффициент удельных потерь.
Тогда выражение для потерь мощности в сердечнике будет иметь вид

Из выше изложенного можно сделать вывод, что в сердечнике дросселя, который обладает петлёй гистерезиса, выделяется активная мощность, которая разогрева сердечник. Данная мощность зависит от частоты, размеров сердечника и магнитных свойств сердечника.
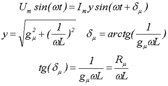
Тангенс угла магнитных потерь
Величина удельных суммарных потерь PSP не всегда может быть нормирована для материала сердечника. Наиболее часто нормируется параметр тангенс угла магнитных потерь tg(δμ) или относительный тангенс угла магнитных потерь (Relative at fmin loss factorat fmax) tg(δμ)/μH. Для определения данных параметров обратимся к эквивалентной схеме дросселя

Эквивалентная схема дросселя.
Напомню, что она состоит из межвитковой ёмкости С, сопротивление обмоток R, индуктивность рассеивания обмоток LS, проводимости потерь сердечника gμ и индуктивности дросселя L. Ток в дросселе I состоит из двух частей активной составляющей Ia, обусловленный проводимостью потерь и реактивной составляющей Iμ, зависящей от индуктивности дросселя. Активная составляющая совпадает по фазе с напряжение на дросселе U, а реактивная – отстает по фазе на угол φ = π/2.

где y – комплексная проводимость,
ω – угловая частота, ω = 2πf,
L – индуктивность дросселя,
Rμ – сопротивление потерь дросселя,
Um – амплитудное значение переменного напряжения,
Im – амплитудное значение переменного тока,
δμ – угол потерь дросселя,
tg(δμ) – тангенс угла магнитных потерь.
В связи с этим для характеристики магнитных потерь дросселя вводится параметр называемый тангенс угла магнитных потерь tg(δμ).
Тогда мощность потерь дросселя можно определить по следующей формуле
![]()
где I – действующее значение тока протекающего через дроссель,
ω – угловая частота, ω = 2πf,
L – индуктивность дросселя.
Кроме данного параметра, широко используется относительный тангенс угла магнитных потерь, который равен отношению тангенса угла магнитных потерь к начальной магнитной проницаемости, тогда потери мощности в сердечнике составят

где tg(δμ)/μн – относительный тангенс угла магнитных потерь,
μн – начальная магнитная проницаемость.
Тангенс угла магнитных потерь и относительный тангенс угла магнитных потерь имеет выраженную частотную зависимость и зависимость от напряженности магнитного поля. Данные зависимости отражаются в справочниках и datasheet на различные типы магнитных веществ.
Удельная мощность потерь
В datasheet на ферритовые материалы иностранного производства широко применяется параметр удельные объемные потери (Relative core losses) Pv. Данный параметр характеризует мощность потерь в сердечнике на единицу его объёма и измеряется в киловаттах на метр кубический kW/m3 (кВт/м3). Тогда потери мощности в сердечнике составляют
![]()
где Pv – удельные объемные потери,
Vm — объём сердечника.
В отечественной литературе также имеется ряд параметров, характеризующих удельные потери: удельные потери по объёму PSV (измеряется в Вт/м3)и удельные потери по массе PSM (измеряется в Вт/кг). Данные параметры обычно указываются для сердечников из стальных листов, которые применяются на низких частотах. Они не равнозначны параметру удельных объёмных потерь Pv в иностранной документации. Для вычисления потерь мощности в сердечнике, отечественных удельных параметров, необходимо воспользоваться следующими выражениями

где fp, Bp – частота и индукция, при которой работает сердечник,
fТ, BТ – частота и индукция, для которых заданы параметры удельных потерь по объёму PSV или по массе PSМ,
Vm – объём сердечника,
ρ – плотность материала сердечника,
α и β – справочные параметры конкретного сердечника.
Стоит отметить, что удельные потери в вышеприведённых формулах соответствуют синусоидальному напряжению, а для напряжения другой формы (прямоугольной, трапецеидальной) необходимо выполнить пересчёт.
Пересчёт можно выполнить двумя способами. Первый способ, стоит в том, чтобы разложить форму напряжения или тока на отдельные гармоники, для каждой из которых вычислить потери, а затем суммировать их, по второму способу можно воспользоваться эмпирической формулой, которая приводит форму к синусоидальной

где Руд – удельные потери мощности в материале сердечника (по объему или по массе),
КФ – коэффициент формы напряжения или тока,
αГ – коэффициент зависящий от типа применённой стали, для изотропной стали αГ = 0,8, для анизотропной стали αГ = 0,3.
Кроме того для сердечников вводится параметр называемый коэффициент заполнения сердечника сталью kс, который равен отношению площади поперечного сечения сердечника к сумме поперечных сечений стальных пластин. В ленточных сердечниках kс <1 и уменьшается пропорционально толщине пластин δ, из которых набран сердечник

Зависимость коэффициента заполнения сердечника сталью от толщины листа.
где δ – толщина листа (пластины).
Тепловые потери дросселя
Потери энергии в любом электрическом устройстве приводит к выделению тепловой энергии, то есть нагреву данного устройства. К нагреву дросселя приводят потери энергии в обмотке ∆Р1 и в сердечнике ∆Р2. Температура нагрева дросселя Тд зависит от температуры окружающей среды Токр и перегрева дросселя ∆Т
![]()
Температура нагрева и перегрев являются основными тепловыми параметрами работы дросселя и зависят от мощности потерь, размеров дросселя и характера отвода тепла от дросселя.
Температура перегрева дросселя рассчитывается по следующему выражению

где ∆Р1 – мощность потерь в обмотке,
∆Р2 – мощность потерь в сердечнике,
SО – площадь поверхности охлаждения открытой части обмотки дросселя,
SС – площадь поверхности охлаждения открытой части сердечника дросселя,
α – коэффициент теплопередачи.
Коэффициент теплопередачи зависит от состояния наружных поверхностей и находится в пределах от 0,9*10-3 до 2*10-3 Вт/(°С см2). Для естественного воздушного охлаждения α = 1,2 Вт/(°С см2), а в случае принудительной вентиляции определяется по выражению
![]()
где v – скорость движения охлаждающего воздуха.
Не трудно заметить, если площадь открытой поверхности сердечника SС значительно меньше площади охлаждения обмотки SO, например, при тороидальных или броневых (в меньшей степени) сердечниках, то выражение для перегрева дросселя преобразовывается к следующему виду

где SS – суммарная площадь поверхности охлаждения.
Кроме того, данное выражение можно использовать в случае дросселей с мощностью менее 500 Вт.
Теория это хорошо, но необходимо отрабатывать это всё практически ПОПРОБОВАТЬ МОЖНО ЗДЕСЬ

Как рассчитать индуктивность катушек на разомкнутых сердечниках?
Расчёт трансформатора-2. Параметры катушки
Устройство и схема трансформатора
Тепловой режим трансформатора. Часть 1
Компенсационные стабилизаторы напряжения.