Всем доброго времени суток! В прошлой статье я рассказал о дросселях сглаживающих фильтров и изложил принцип их расчёта. Однако такие типы дросселей в бытовой технике применяются не очень часто, так как в маломощных устройствах зачастую эффективнее использовать ёмкостные фильтры. Наиболее часто в электронных устройствах применяют другой вид дросселей – дроссели переменного тока. Об их особенностях, принципах работы и расчёте параметров таких дросселей пойдёт речь в этой статье.
Для сборки радиоэлектронного устройства можно преобрески DIY KIT набор по ссылке.
Особенности работы дросселя переменного тока
Дроссель переменного тока, так же как и любой другой дроссель представляет собой катушку индуктивности с ферромагнитным сердечником. Данный тип дросселя включается последовательно с нагрузкой, аналогично сглаживающему дросселю, но в отличие от него, протекающий ток через дроссель переменного тока не имеет постоянного тока подмагничивания. В связи с этим дроссель переменного тока широко применяется в балластных и токоограничительных цепях, мощных антенных и фильтрующих устройствах, а так же в различных импульсных преобразователях напряжения.
В независимости от применения дросселя в схеме его работа основана на зависимости его реактивного сопротивления XL от частоты f протекающего через него тока IH и падении напряжения на дросселе UL

Дроссель переменного тока.
Таким образом, величина напряжения на дросселе UL определяется индуктивностью дросселя L и параметрами тока, протекающего через дроссель: частота тока f и значение тока в цепи IH.
Влияние немагнитного зазора на дроссель
В предыдущих статьях я рассказывал о негативном влиянии насыщения сердечника на снижение магнитной проницаемости μe и индуктивности дросселя L, которые приводят к искажению формы тока протекающего через дроссель.

Форма тока, протекающего через дроссель: для ненасыщенного сердечника (1) и для насыщенного сердечника (2).
На данном рисунке изображено искажение формы тока синусоидального напряжения при работе дросселя на насыщенном и ненасыщенном участке кривой намагничивания. Степень искажения формы напряжения зависит также от отношения реактивного сопротивления дросселя к активному сопротивлению нагрузки XL/RH. То есть при насыщении сердечника, чем меньше данное соотношение, тем меньше степень искажения формы напряжения. Таким образом, введение немагнитного зазора кроме стабилизации величины индуктивности, в широких пределах изменения тока, позволяет пропустить через дроссель переменный ток без значительных изменений.
Кроме вышеописанных факторов, введение немагнитного зазора приводит к некоторым особенностям, которые необходимо учитывать при разработке и изготовлении дросселей с зазором. Основной особенностью является уширение магнитного потока в зазоре.

Уширение магнитного потока в немагнитном зазоре дросселя: стержень дросселя (слева) и его поперечное сечение (справа). Пунктиром обозначены размеры увеличенного сечения вследствие выпучивания магнитного потока.
Данное явление связанно с тем, что в дросселе с зазором магнитный поток выходит за пределы пространства, находящегося между двух концов разрезанного сердечника, поэтому площадь поперечного сечения в немагнитном зазоре как бы увеличивается.
Размеры уширения сечения зависит от длины обмотки дросселя lоб, площади сечения сердечника Se и длины немагнитного зазора lз. Уширение магнитного потока уменьшает магнитное сопротивление цепи и, следовательно, увеличивает индуктивность дросселя. Для учёта уширения магнитного потока и увеличения индуктивности вводится коэффициент выпучивания F, учитывающий уширение магнитного потока в немагнитном зазоре. Поэтому значение индуктивности дросселя будет определятся следующим выражением

где ω – количество витков провода в обмотке,
μ0 – магнитная постоянная, μ0 = 4π*10-7 Гн/м,
μе – эквивалентная (относительная) магнитная проницаемость сердечника,
Sе – эквивалентная площадь поперечного сечения сердечника,
lе – эквивалентная длина магнитной линии сердечника.
lM – длина магнитной линии в сердечнике.
F – коэффициент, учитывающий уширение магнитного потока в зазоре.
Принципы расчёта дросселей переменного тока
Расчёт дросселя переменного тока ведётся аналогично расчёту сглаживающего дросселя, но с учётом начальных условий. Так для дросселя переменного тока определяющими параметрами являются: требуемая индуктивность L, приложенное напряжение UL, частота переменного тока f, перегрев дросселя. Кроме этого необходимо определиться с материалом сердечника дросселя, который определят индукцию насыщения BS и максимальную индукцию в сердечнике Bm, которая для предотвращения насыщения сердечника выбирается из условия
![]()
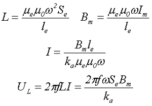
В основе расчётов дросселя переменного тока лежит выражения для определения величина действующего напряжения падающего на дросселе UL
![]()
где f – частота переменного тока,
L – индуктивность дросселя,
I – действующее значение тока дросселя.
Тогда с учетом выражения для индуктивности дросселя с замкнутым сердечником и выражения для максимальной индукции в сердечнике напряжение на дросселе будет зависеть от следующих параметров

где μе – эквивалентная магнитная проницаемость сердечника,
μ0 – магнитная постоянная, μ0 = 4π•10-7 Гн/м,
ω – количество витков обмотки дросселя,
Se – эквивалентное сечение сердечника дросселя,
le – эквивалентная длина магнитного пути сердечника дросселя,
Bm – максимальное значение магнитной индукции сердечника,
ka – коэффициент амплитуды тока (напряжения) дросселя.
Получившееся выражение довольно часто можно встретить под названием основной формулы трансформаторной ЭДС, так как оно устанавливает однозначное соотношение, между ЭДС на зажимах обмотки и числом витков обмотки, при заданной величине магнитной индукции в сердечнике. Тогда при синусоидальном напряжении (коэффициент амплитуды ka ≈ 1,414) выражение принимает следующий вид

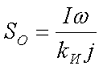
Вернёмся к исходному выражению для напряжения на дросселе UL, в котором неоднозначным является параметр – количество витков. Данный параметр кроме всего прочего (величины индуктивности L и магнитной проницаемости μе сердечника) зависит от размеров магнитопровода, а конкретнее от площади окна SO, которое можно вычислить по следующему выражению

где I – действующее значение тока дросселя,
ω – количество витков обмотки дросселя,
kИ – коэффициент использования окна сердечника,
j – плотность тока в проводе обмотки.
Параметры kИ и j выбирают аналогично, как и для дросселя сглаживающего фильтра, то есть коэффициент использования окна сердечника kИ ≈ 0,3, а плотность тока j = 5 А/мм2.
Тогда выражая из данного выражения количество витков провода ω, получим

Получившееся выражение определяет основное расчётное выражение для определения типоразмера сердечника – произведение площадей сердечника SeSO. После преобразования выражения для действующего напряжения на дросселе UL определяем количество витков обмотки ω и величину немагнитного зазора δ

где μе – эквивалентная магнитная проницаемость сердечника,
μ0 – магнитная постоянная, μ0 = 4π•10-7 Гн/м,
Se – эквивалентное сечение сердечника дросселя,
le – эквивалентная длина магнитного пути сердечника дросселя,
Bm – максимальное значение магнитной индукции сердечника,
ka – коэффициент амплитуды тока (напряжения) дросселя.
Вычисленное количество витков является ориентировочным, так как из-за уширения магнитного потока значение индуктивности оказывается несколько больше при данном количестве витков, что в некоторых случаях является нежелательным. Поэтому необходимо пересчитать витки с учётом коэффициента уширения магнитного потока F

Осталось выбрать сечение обмоточного провода SП

где SO – площадь окна используемого сердечника,
kИ – коэффициент использования окна сердечника,
ω – количество витков обмотки дросселя.
Выбор сечения провода необходимо производить, округлив полученное значение до ближайшего номинала, при этом необходимо учитывать, что на высоких частотах возрастают потери мощности в проводе. Поэтому при достаточно высокой частоте необходимо использовать обмоточный провод, состоящий из нескольких жил, при этом диаметр жилы выбирают исходя из глубины скин-слоя δ

где f – частота переменного тока, протекающего через дроссель,
δ – толщина скин-слоя,
dп – диаметр жилы в обмоточном проводе.
После конструктивного расчёта сердечника и обмотки необходимо проверить тепловой режим работы дросселя – нагрев и перегрев дросселя.
Расчёт дросселя переменного тока
В качестве примера рассчитаем дроссель переменного тока со следующими исходными данными: индуктивность дросселя L = 20 мкГн, частота переменного тока f = 50 кГц, действующее значение тока дросселя Iд = 5 А, температура перегрева ∆Т = 50 °C. Ток, протекающий через дроссель, имеет форму прямоугольных импульсов с коэффициентом заполнения D = 0,5.
В общем случае расчёт сводится к выбору параметров магнитопровода и обмотки, при этом режим работы дросселя должен отвечать заданным условиям, в данном случае, температуре перегрева ∆Т.
1.Выберем типоразмер сердечника соответствующего произведению площадей SeSO. Для этого необходимо дополнительно определить действующее напряжение на дросселе UL, коэффициент амплитуды тока дросселя ka, коэффициент использования окна сердечника kИ, значение максимальной индукции тока дросселя Bm и плотность тока j.
Так как частота тока достаточно высокая, то в качестве материала магнитопровода выберем феррит марки N87, следовательно, Bm = 0,3. Коэффициент использования окна сердечника и плотность тока выберем соответственно kИ = 0,3 и j = 5 А/мм2.

Таким образом, выберем магнитопровод, состоящий из двух половинок типа E 20/10/6 со следующими параметрами: le = 93мм, Se = 32 мм2, SO = 57 мм2, Ve = 2980 мм3, SeSO = 1824 мм4.

Сердечник, состоящий из двух половинок Е 20/10/6, имеет следующие размеры:
L = 20,4 мм, H = 20,2 мм, B = 5,9 мм, h = 14 мм, l0 = 5,9 мм, l1 = 4,1 мм.
2.Определим предварительное число витков обмотки дросселя без учёта эффекта уширения магнитного потока

Полученный результат округлим до ближайшего целого, таким образом, количество витков примем ω = 15. С учетом этого определим величину немагнитного зазора сердечника δ

В связи с тем, что прокладка для создания немагнитного зазора прокладывается как между центральными кернами, так и между боковыми, то соответственно толщина прокладки необходимо уменьшить вдвое по сравнению с рассчитанным значением. То есть толщина прокладки должна составлять 0,1…0,12 мм.
В связи с наличием немагнитного зазора происходит уширение магнитного потока и как следствие увеличение индуктивности. Для того чтобы индуктивность дросселя L соответствовала заданной, необходимо пересчитать число витков обмотки ω с учётом коэффициента уширения F

Таким образом, количество витков примем равным ω = 14. Для окончательного расчёта параметров дросселя определим сечение провода с учётом плотности тока j = 5 А/мм2.

Как видно сечение провода составляет SП = 1 мм2, данному сечению соответствует провод диаметром dП = 1,12 мм. Так как частота переменного тока дросселя достаточно высокая, то для снижения потерь мощности вследствие скин-эффекта необходимо использовать литцендрат – провод состоящий из нескольких жил. Диаметр жилы dЖ не должен превышать удвоенной толщины скин-слоя ∆

В связи с этим для обмотки можно использовать провод, скрученный из 9 жил диаметром 0,38 мм, имеющего суммарное сечение SП = 1,02 мм2.
4.Для завершения расчётов необходимо рассчитать температуру перегрева дросселя ∆Т. Для этого необходимо определить потери мощности в обмотке ∆Р1 и в сердечнике ∆Р2, также суммарную площадь охлаждения дросселя.
Мощность потерь в обмотке ∆P1, зависит от удельного сопротивления проводника (qCu = 0,0171 (Ом•мм2)/м), длины обмоточного провода lпр.об и температурного коэффициента сопротивления меди αCu = 0,0038 °C-1.

где lв.ср. – средняя длина витка обмотки дросселя,
R∆T – сопротивление провода при температуре перегрева.
Для определения потерь мощности в сердечнике ∆P2 необходимо определить удельные объёмные потери PV при заданной частоте f, рабочей температуре T и максимальной индукции, создаваемой переменным током в дросселе Bm.
По справочным данным для феррита марки N87, при Bm = 300 мТл, f = 50 кГц и T = 70 °C, объемные потери составляют PV ≈ 250 кВт/м3 = 0,25•10-3 Вт/мм3, тогда потери мощности в сердечнике объемом Ve = 2980 мм3 составят
![]()
Рассчитаем площади охлаждения сердечника SС и площадь охлаждения обмотки SO.

Таким образом, перегрев составляет ∆Т = 48 °С соответствует требуемым условиям, но находится на пределе, поэтому можно порекомендовать снизить максимальное значение индукции Bm путём увеличения количества витков обмотки, или использовать сердечник большего размера.
Теория это хорошо, но необходимо отрабатывать это всё практически ПОПРОБОВАТЬ МОЖНО ЗДЕСЬ

Стабилитрон. Параметрические стабилизаторы напряжения
Расчёт трансформатора-2. Параметры катушки
Соединение элементов в цепи переменного напряжения и тока
Переменное напряжение и его параметры
Катушки индуктивности с малым воздушным зазором